pgµç×Ó

pgµç×ÓÄ£ÄâÆ÷(ÖйúÓÎ)¹Ù·½ÍøÕ¾

Ä¿½ñλÖ㺣º£º Ê×Ò³ > ÐÅÏ¢¹«¿ª > Í¨ÖªÍ¨¸æ

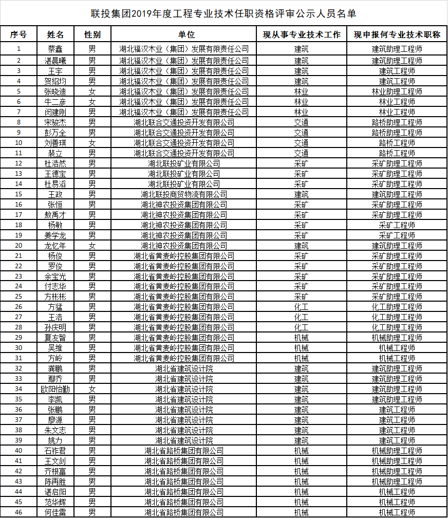
pgµç×Ó¼¯ÍÅ2019Äê¶È¹¤³ÌÊÖÒÕÖС¢¡¢³õ¼¶Ö°ÎñÈÎÖ°×ʸñÆÀÉóЧ¹û¹«Ê¾

pgµç×ÓÄ£ÄâÆ÷(ÖйúÓÎ)¹Ù·½ÍøÕ¾Ðû²¼Ê±¼ä£º£º£º2019-11-25 18:00

pgµç×ÓÄ£ÄâÆ÷(ÖйúÓÎ)¹Ù·½ÍøÕ¾ÈªÔ´£º£º£ººþ±±Ê¡ÁªºÏ¿ªÕ¹Í¶×ʼ¯ÍÅ

pgµç×ÓÄ£ÄâÆ÷(ÖйúÓÎ)¹Ù·½ÍøÕ¾µã»÷Á¿£º£º£º

ƾ֤ºþ±±Ê¡ÁªºÏ¿ªÕ¹Í¶×ʼ¯ÍÅÓÐÏÞ¹«Ë¾¹¤³ÌÊÖÒÕÖм¶Ö°ÎñÈÎÖ°×ʸñÆÀÉóίԱ»á£¨ÒÔϼò³Æ¡°pgµç×Ó¼¯ÍÅÖÐÆÀί¡±£©ÊÂÇé°²ÅÅ£¬£¬£¬pgµç×Ó¼¯ÍÅÖÐÆÀίÒÑ×éÖ¯¿ªÕ¹ÁË2019Äê¶È¹¤³ÌÊÖÒÕÖС¢¡¢³õ¼¶Ö°ÎñÈÎÖ°×ʸñÆÀÉó¡£

±¾´ÎÖ°³ÆÆÀÉó¹²Éæ¼°ÐÞ½¨¡¢¡¢½»Í¨¡¢¡¢»úе¡¢¡¢Ë®ÀûµçÁ¦¡¢¡¢»¯¹¤¡¢¡¢²É¿ó¡¢¡¢ÁÖÒµÆß´óÀ࣬£¬£¬ÐÞ½¨¹¤³Ì¡¢¡¢ÊÐÕþ¹¤³Ì¡¢¡¢¹¤³ÌÖÎÀí¡¢¡¢¸øË®ÅÅË®¡¢¡¢ÐÞ½¨Éè¼Æ¡¢¡¢ÐÞ½¨½á¹¹¡¢¡¢ÐÞ½¨Ê©¹¤¡¢¡¢¹¤³ÌÔì¼Û¡¢¡¢ÑÒÍÁ¹¤³Ì¡¢¡¢Â·ÇÅ¡¢¡¢ÒDZí¡¢¡¢»úµç¡¢¡¢Ìô׫¿ó¡¢¡¢ÁÖѧ¡¢¡¢»¯¹¤¹¤ÒÕµÈ15¸öרҵ£¬£¬£¬184ÈËͨ¹ýÆÀÉ󣬣¬£¬ÏÖ½«ÉóºËÈ·ÈÏͨ¹ýÖ°Ô±£¨Ãûµ¥¸½ºó£©¾ÙÐй«Ê¾¡£¹«Ê¾Ê±¼äΪ5Ì죨2019Äê11ÔÂ25ÈÕÖÁ11ÔÂ29ÈÕ£©¡£¹«Ê¾Ê±´úÈç¶Ô¹«Ê¾Ð§¹ûÓÐÒìÒ飬£¬£¬¿Éͨ¹ýµç»°¡¢¡¢¶ÌÐÅ¡¢¡¢ÓÊÏ䷽ʽÏòpgµç×Ó¼¯Íʤ³ÌÊÖÒÕÖм¶Ö°ÎñÈÎÖ°×ʸñÆÀÉóίԱ»á·´Ó³¡£·´Ó³ÇéÐÎÒª¼á³ÖʵÊÂÇóÊǵÄÔ­Ôò£¬£¬£¬ÒÔ±ãµ÷ÉóºËʵ¡£

ÁªÏµµç»°£º£º£º027-81737765

ÓÊÏ䣺£º£ºHR_ltjt@126.com

¸½¼þ£º£º£ºpgµç×Ó¼¯ÍÅ2019Äê¶È¹¤³ÌרҵÊÖÒÕÈÎÖ°×ʸñÆÀÉó¹«Ê¾Ö°Ô±Ãûµ¥



ºþ±±Ê¡ÁªºÏ¿ªÕ¹Í¶×ʼ¯ÍÅÓÐÏÞ¹«Ë¾

¹¤³ÌÊÖÒÕÖм¶Ö°ÎñÈÎÖ°×ʸñÆÀÉóίԱ»á

 2019Äê11ÔÂ25ÈÕ




¸½¼þ£º£º£º

pgµç×ÓÄ£ÄâÆ÷(ÖйúÓÎ)¹Ù·½ÍøÕ¾

pgµç×ÓÄ£ÄâÆ÷(ÖйúÓÎ)¹Ù·½ÍøÕ¾

pgµç×ÓÄ£ÄâÆ÷(ÖйúÓÎ)¹Ù·½ÍøÕ¾

pgµç×ÓÄ£ÄâÆ÷(ÖйúÓÎ)¹Ù·½ÍøÕ¾

¡¾ÍøÕ¾µØÍ¼¡¿